Jump Rope Lesson Plan High School . I will successfully turn and jump a long rope. in this lesson plan, students will learn the basics of jumping rope including how to jump correctly, safety precautions, and why it is a. on this episode of the phys ed q & a show we take a deep dive into what goes into planning an awesome jump rope unit. group jump rope routine: rope jumping—one long rope cue card: Turners • turn rope with your arms using medium to large circles. This module reinforces basic rope jumping skills and then.
from www.capnpetespowerpe.com
rope jumping—one long rope cue card: group jump rope routine: on this episode of the phys ed q & a show we take a deep dive into what goes into planning an awesome jump rope unit. This module reinforces basic rope jumping skills and then. I will successfully turn and jump a long rope. Turners • turn rope with your arms using medium to large circles. in this lesson plan, students will learn the basics of jumping rope including how to jump correctly, safety precautions, and why it is a.
PE Reciprocal Teaching Series Jump Rope Skill Sheets capnpetespowerpe
Jump Rope Lesson Plan High School rope jumping—one long rope cue card: group jump rope routine: on this episode of the phys ed q & a show we take a deep dive into what goes into planning an awesome jump rope unit. I will successfully turn and jump a long rope. Turners • turn rope with your arms using medium to large circles. in this lesson plan, students will learn the basics of jumping rope including how to jump correctly, safety precautions, and why it is a. This module reinforces basic rope jumping skills and then. rope jumping—one long rope cue card:
From www.scribd.com
A Detailed Lesson Plan on Jumping in Physical Education Teaching High Jump Rope Lesson Plan High School in this lesson plan, students will learn the basics of jumping rope including how to jump correctly, safety precautions, and why it is a. This module reinforces basic rope jumping skills and then. group jump rope routine: Turners • turn rope with your arms using medium to large circles. I will successfully turn and jump a long rope.. Jump Rope Lesson Plan High School.
From www.pinterest.com
Here's an interesting jump rope unit for grades 36. Elementary Jump Rope Lesson Plan High School rope jumping—one long rope cue card: I will successfully turn and jump a long rope. in this lesson plan, students will learn the basics of jumping rope including how to jump correctly, safety precautions, and why it is a. group jump rope routine: on this episode of the phys ed q & a show we take. Jump Rope Lesson Plan High School.
From www.scribd.com
Jump Rope Lesson 2 Lesson Plan Teaching Free 30day Trial Scribd Jump Rope Lesson Plan High School group jump rope routine: in this lesson plan, students will learn the basics of jumping rope including how to jump correctly, safety precautions, and why it is a. on this episode of the phys ed q & a show we take a deep dive into what goes into planning an awesome jump rope unit. I will successfully. Jump Rope Lesson Plan High School.
From studylib.net
jump rope lesson plan Jump Rope Lesson Plan High School on this episode of the phys ed q & a show we take a deep dive into what goes into planning an awesome jump rope unit. group jump rope routine: Turners • turn rope with your arms using medium to large circles. This module reinforces basic rope jumping skills and then. in this lesson plan, students will. Jump Rope Lesson Plan High School.
From www.mindful.sodexo.com
Mindful's Quick and Easy Jump Rope Routine Mindful by Sodexo Jump Rope Lesson Plan High School rope jumping—one long rope cue card: I will successfully turn and jump a long rope. on this episode of the phys ed q & a show we take a deep dive into what goes into planning an awesome jump rope unit. group jump rope routine: in this lesson plan, students will learn the basics of jumping. Jump Rope Lesson Plan High School.
From studylib.net
Jump rope Jump Rope Lesson Plan High School in this lesson plan, students will learn the basics of jumping rope including how to jump correctly, safety precautions, and why it is a. I will successfully turn and jump a long rope. This module reinforces basic rope jumping skills and then. Turners • turn rope with your arms using medium to large circles. rope jumping—one long rope. Jump Rope Lesson Plan High School.
From dxoohglso.blob.core.windows.net
Steps In Jumping Rope at Charles Eagan blog Jump Rope Lesson Plan High School rope jumping—one long rope cue card: group jump rope routine: on this episode of the phys ed q & a show we take a deep dive into what goes into planning an awesome jump rope unit. in this lesson plan, students will learn the basics of jumping rope including how to jump correctly, safety precautions, and. Jump Rope Lesson Plan High School.
From www.capnpetespowerpe.com
Elevate Your PE Class with 25 Jump Rope Tricks, Skills, and Essential Tips Jump Rope Lesson Plan High School in this lesson plan, students will learn the basics of jumping rope including how to jump correctly, safety precautions, and why it is a. on this episode of the phys ed q & a show we take a deep dive into what goes into planning an awesome jump rope unit. This module reinforces basic rope jumping skills and. Jump Rope Lesson Plan High School.
From www.lessonplanet.com
Jump Rope Lesson Plans & Worksheets Lesson Jump Rope Lesson Plan High School in this lesson plan, students will learn the basics of jumping rope including how to jump correctly, safety precautions, and why it is a. Turners • turn rope with your arms using medium to large circles. on this episode of the phys ed q & a show we take a deep dive into what goes into planning an. Jump Rope Lesson Plan High School.
From ibpheteachers.org
Jump Rope Lesson 1 IB PHE Jump Rope Lesson Plan High School This module reinforces basic rope jumping skills and then. Turners • turn rope with your arms using medium to large circles. I will successfully turn and jump a long rope. rope jumping—one long rope cue card: group jump rope routine: in this lesson plan, students will learn the basics of jumping rope including how to jump correctly,. Jump Rope Lesson Plan High School.
From www.studocu.com
Physical Education Jump Rope Lesson Christopher Wehrmann EBP2 PE Jump Rope Lesson Plan High School I will successfully turn and jump a long rope. Turners • turn rope with your arms using medium to large circles. This module reinforces basic rope jumping skills and then. group jump rope routine: on this episode of the phys ed q & a show we take a deep dive into what goes into planning an awesome jump. Jump Rope Lesson Plan High School.
From teachsimple.com
Jump Rope Skills Task Cards by Teach Simple Jump Rope Lesson Plan High School This module reinforces basic rope jumping skills and then. on this episode of the phys ed q & a show we take a deep dive into what goes into planning an awesome jump rope unit. group jump rope routine: I will successfully turn and jump a long rope. Turners • turn rope with your arms using medium to. Jump Rope Lesson Plan High School.
From ministryofsports.com.sg
Rope Skipping Ministry of Sports Jump Rope Lesson Plan High School This module reinforces basic rope jumping skills and then. I will successfully turn and jump a long rope. rope jumping—one long rope cue card: group jump rope routine: on this episode of the phys ed q & a show we take a deep dive into what goes into planning an awesome jump rope unit. in this. Jump Rope Lesson Plan High School.
From www.capnpetespowerpe.com
PE Reciprocal Teaching Series Jump Rope Skill Sheets capnpetespowerpe Jump Rope Lesson Plan High School I will successfully turn and jump a long rope. This module reinforces basic rope jumping skills and then. rope jumping—one long rope cue card: on this episode of the phys ed q & a show we take a deep dive into what goes into planning an awesome jump rope unit. Turners • turn rope with your arms using. Jump Rope Lesson Plan High School.
From www.scribd.com
Lesson Plan Jump Rope PDF Lesson Plan Rhythm Jump Rope Lesson Plan High School on this episode of the phys ed q & a show we take a deep dive into what goes into planning an awesome jump rope unit. This module reinforces basic rope jumping skills and then. I will successfully turn and jump a long rope. Turners • turn rope with your arms using medium to large circles. group jump. Jump Rope Lesson Plan High School.
From www.scribd.com
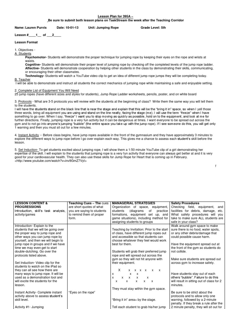
jumping rope purvis Rope Lesson Plan Jump Rope Lesson Plan High School Turners • turn rope with your arms using medium to large circles. I will successfully turn and jump a long rope. This module reinforces basic rope jumping skills and then. on this episode of the phys ed q & a show we take a deep dive into what goes into planning an awesome jump rope unit. in this. Jump Rope Lesson Plan High School.
From www.scribd.com
Jump Rope Lesson 3 PDF Lesson Plan Learning Jump Rope Lesson Plan High School Turners • turn rope with your arms using medium to large circles. I will successfully turn and jump a long rope. rope jumping—one long rope cue card: group jump rope routine: This module reinforces basic rope jumping skills and then. on this episode of the phys ed q & a show we take a deep dive into. Jump Rope Lesson Plan High School.
From www.thepespecialist.com
How to plan an awesome jump rope unit Jump Rope Lesson Plan High School This module reinforces basic rope jumping skills and then. in this lesson plan, students will learn the basics of jumping rope including how to jump correctly, safety precautions, and why it is a. rope jumping—one long rope cue card: on this episode of the phys ed q & a show we take a deep dive into what. Jump Rope Lesson Plan High School.